AdiChemistry Home

NAMED ORGANIC REACTIONS

< Beckmann-Explanation  Table of contents Birch reduction-Explanation >

BECKMANN REARRANGEMENT - EXERCISES

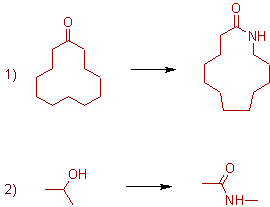
I) Mention the products formed in the following reactions.

beckmann rearrangement 2-1

 

II) How do you carry out the following conversions?

beckmann rearrangement 2-2

 

III) Propose a mechanism for the following reaction.

beckmann rearrangement 2-3

 

< Beckmann-Explanation  Table of contents Birch reduction-Explanation >
Author: Aditya vardhan Vutturi