AdiChemistry Home

 < Resonance  Organic chemistry: Home page   Hyperconjugation >

RESONANCE EFFECT OR MESOMERIC EFFECT

The electron withdrawing or releasing effect attributed to a substituent through delocalization of p or π electrons, which can be visualized by drawing various canonical forms, is known as mesomeric effect or resonance effect. It is symbolized by M or R.

Negative resonance or mesomeric effect (-M or -R): It is shown by substituents or groups that withdraw electrons by delocalization mechanism from rest of the molecule and are denoted by -M or -R. The electron density on rest of the molecular entity is decreased due to this effect.

E.g. -NO2, Carbony group (C=O), -C≡N, -COOH, -SO3H etc.

Positive resonance or mesomeric effect (+M or +R):  The groups show  positive mesomeric effect when they release electrons to the rest of the molecule by delocalization. These groups are denoted by +M or +R. Due to this effect, the electron density on rest of the molecular entity is increased.

 E.g. -OH, -OR, -SH, -SR, -NH2, -NR2 etc.

ILLUSTRATIONS & APPLICATIONS OF RESONANCE EFFECT (OR) MESOMERIC EFFECT

1) The negative resonance effect (-R or -M) of carbonyl group is shown below. It withdraws electrons by delocalization of π electrons and reduces the electron density particularly on 3rd carbon.

-M effect of carbonyl group in but-3-en-2-one / methyl vinyl ketone

 

2) The negative mesomeric effect (-R or -M) shown by cyanide group in acrylonitrile is illustrated below. The electron density on third carbon decreases due to delocalization of π electrons towards cyanide group.

-M effect of cyanide group

Because of negative resonance effect, the above compounds act as good micheal acceptors.

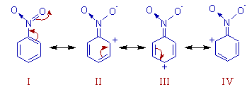
3) The nitro group, -NO2, in nitrobenzene shows -M effect due to delocalization of conjugated π electrons as shown below. Note that the electron density on benzene ring is decreased particularly on ortho and para positions.

-M effect of nitro group

 This is the reason for why nitro group deactivates the benzene ring towards electrophilic substitution reaction.

4) In phenol, the -OH group shows +M effect due to delocalization of lone pair on oxygen atom towards the ring. Thus the electron density on benzene ring is increased particularly on ortho and para positions.

+M effect of phenolic group

Hence phenol is more reactive towards electrophilic substitution reactions. The substitution is favored more at ortho and para positions. 

5) The -NH2 group in aniline also exhibits +R effect. It releases electrons towards benzene ring through delocalization. As a result, the electron density on benzene ring increases particularly at ortho and para positions. Thus aniline activates the ring towards electrophilic substitution.

delocalization in aniline; +R effect

It is also worth mentioning that the electron density on nitrogen in aniline decreases due to delocalization which is the reason for its less basic strength when compared to ammonia and alkyl amines.

INDUCTIVE EFFECT Vs RESONANCE EFFECT

In most of the cases, resonance effect is stronger and outweighs inductive effect

For example, the -OH and -NH2 groups withdraw electrons by inductive effect (-I). However they also release electrons by delocalization of lone pairs (+R effect). Since the resonance effect is more stronger than inductive effect the net result is electron releasing to rest of the molecule. This is clearly observed in phenol and aniline, which are more reacting than benzene towards electrophilic substitution reactions.

Whereas the inductive effect is stronger than the resonance effect in case of halogen atoms. These are electronegative and hence exhibit -I effect. However at the same time they also release electrons by delocalization (+R effect) of lone pair. 

This is evident in case of reactivity of halobenzenes, which are less reactive than benzene towards electrophilic substitution due to -I effect of halogens. 

But it interesting to note that the substitution is directed at ortho and para positions rather than meta position. It can be ascribed to the fact that the electron density is increased at ortho and para positions due to +R effect of halogens as shown below.

+R effect in halobenzenes

 

 

  < Resonance  Organic chemistry: Home page   Hyperconjugation >
Author: Aditya vardhan Vutturi